Elasticidad de la demanda
La elasticidad de la demanda mide el cambio porcentual en la cantidad demandada en respuesta a una variación porcentual en el precio de un bien.

La elasticidad indica hasta qué punto la demanda responde a los cambios en el precio (sensibilidad de la demanda ante variaciones de precio).
Por lo general, al hablar de elasticidad de la demanda, nos referimos a la elasticidad-precio de la demanda. No obstante, dado que existen otros tipos de elasticidad de la demanda (como la elasticidad-ingreso), conviene especificar el tipo de elasticidad en cuestión.
El coeficiente de elasticidad de la demanda
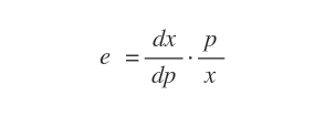
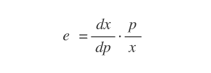
El coeficiente de elasticidad-precio, representado por ε, se define de la siguiente manera:

El coeficiente ε mide el cambio relativo en la cantidad demandada (Δx1/x1) de un bien x1 en respuesta a un cambio relativo en su precio (Δp1/p1).
Nota: Los cambios en cantidad y precio pueden expresarse como variaciones relativas o porcentuales.
El coeficiente de elasticidad se expresa siempre en valor absoluto, ignorando los signos de las variaciones en el precio y la demanda.

El valor absoluto de la elasticidad puede variar entre cero e infinito.
Elasticidad puntual en la curva de demanda
En una curva de demanda, la elasticidad cambia de un punto a otro.
Para medir esta variación, se suele calcular la elasticidad puntual mediante cálculo infinitesimal.
La elasticidad puntual es la derivada primera de la demanda con respecto al precio.

Elasticidad puntual: La elasticidad puntual se mide en un punto específico de la curva de demanda utilizando cambios infinitesimalmente pequeños en la cantidad demandada y el precio. Por ejemplo, en una curva de demanda, la elasticidad varía de un punto a otro, permitiéndonos determinar la sensibilidad (elasticidad) de la demanda frente al precio en cada punto de la curva.
Análisis de la elasticidad en la curva de demanda
En la parte inicial de la curva de demanda, la elasticidad es menor que uno (elasticidad baja), lo que indica que un cambio en el precio provoca un cambio proporcionalmente menor en la cantidad demandada.

En las secciones finales de la curva de demanda, la elasticidad supera uno (alta elasticidad), lo que significa que un cambio pequeño en el precio genera un cambio desproporcionadamente mayor en la cantidad demandada.
Tipos de demanda: elástica, inelástica y rígida
¿Por qué estudiar la elasticidad de la demanda?
La elasticidad de la demanda ayuda a comprender las características de la curva de demanda.
Según la elasticidad, la demanda se puede clasificar de la siguiente manera:
- Demanda unitariamente elástica (e=1). La demanda cambia en la misma proporción que el precio. Cuando la elasticidad es uno, la demanda varía de forma proporcional a los cambios en el precio.
Por ejemplo, una reducción del 10% en el precio provoca un aumento del 10% en la cantidad demandada. Así, bajar el precio del producto no afecta los ingresos totales del vendedor (R = P Q), ya que la reducción porcentual en el precio P se compensa completamente con el aumento en la cantidad demandada Q.
- Demanda inelástica (e<1). La demanda cambia menos que el precio. Cuando la elasticidad está entre cero y uno, la demanda es inelástica a las variaciones de precio, es decir, la cantidad demandada se mantiene bastante estable ante estos cambios.
Por ejemplo, una reducción del 10% en el precio podría llevar a un aumento de la demanda menor al 10%, como un 5%. Como resultado, una baja en el precio reduce los ingresos totales del vendedor. La demanda inelástica es común en bienes esenciales (como alimentos, pan, leche) y, curiosamente, también en algunos productos de lujo (como yates o joyas), ya que en ambos casos el comportamiento de compra no responde demasiado a los cambios de precio, aunque por motivos diferentes.
- Demanda elástica (e>1). La demanda cambia más que el precio. Cuando la elasticidad es mayor a uno, la demanda es elástica respecto a las variaciones de precio, es decir, la cantidad demandada reacciona de forma desproporcionada a estos cambios.
Por ejemplo, una reducción del 10% en el precio podría hacer que la demanda aumente en más del 10%, tal vez hasta un 20%. En este caso, bajar el precio incrementa los ingresos totales del vendedor. Esta sensibilidad al precio suele observarse en mercados internacionales muy competitivos para productos estandarizados (como productos agrícolas) bajo competencia perfecta.
- Demanda perfectamente inelástica (e=0). La cantidad demandada no varía con el precio, permaneciendo constante ante cualquier cambio de precio. Los consumidores siguen comprando la misma cantidad del bien sin importar el precio.
Por ejemplo, una reducción del 10% en el precio no tiene ningún efecto en la cantidad demandada. La demanda es completamente inelástica (o rígida) para bienes de primera necesidad (como alimentos básicos) y productos de lujo. Un consumidor de ingresos bajos compra la misma cantidad de pan o sal sin importar los cambios de precio, al igual que un consumidor de altos ingresos con bienes de lujo o exclusivos (como el caviar), sin que importe la variación de precio.
- Demanda perfectamente elástica (e=∞). La demanda es extremadamente sensible a los cambios de precio. Una leve variación en el precio puede cambiar drásticamente las decisiones de compra de los consumidores.
Por ejemplo, si el precio del producto aumenta apenas un 10%, la demanda podría caer en un 90%, o viceversa.
